Metodologi Sharpe Ratio Performance
Indikator yang digunakan oleh PT Bina Investama Infonet (Pasardana) dalam melakukan pemeringkatan reksa dana yaitu sharpe ratio yang merupakan salah satu metode yang lazim digunakan dalam penilaian kinerja portofolio investasi. Sharpe ratio merupakan pengukuran kinerja portofolio berdasarkan perbandingan antara imbal hasil (return) dan risiko (risk).
Dalam perhitungannya, metode ini dilakukan dengan cara mencari return lebih (excess return) yang merupakan selisih antara rata-rata return portofolio dan rata-rata return investasi bebas risiko, kemudian dibagi dengan standar deviasi yang merupakan risiko total portofolio. Semakin tinggi nilai sharpe ratio, maka semakin baik kinerja portofolio. Begitu pun sebaliknya. Secara matematis, nilai sharpe ratio dapat dinyatakan dengan formula sebagai berikut:

Keterangan:
Return portofolio menunjukkan capaian hasil pengelolaan atas portofolio investasi reksa dana yang mampu dihasilkan oleh suatu perusahaan manajer investasi selama periode waktu tertentu, yang dilihat dari perubahan nilai aktiva bersih (NAB) reksa dana sejak awal hingga akhir periode pengamatan. Karena itu, perhitungan return portofolio dapat dicari dengan cara sebagai berikut:

Keterangan:

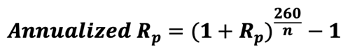
Dalam penerapannya, return portofolio reksa dana dari berbagai periode pengamatan harus disetahunkan (annualized) terlebih dahulu dengan cara sebagai berikut:

Dalam hal ini, angka 260 (52 x 5) merupakan asumsi di mana dalam satu tahun terdapat 52 pekan, dan satu pekan terdiri dari 5 hari perdagangan. Kemudian n merupakan jumlah periode pengamatan kinerja investasi produk reksa dana. Tujuan dari Annualized Rp adalah untuk menyejajarkan total return reksa dana dengan risk free yang bersifat tahunan.
Risk free menunjukkan tingkat imbal hasil atas instrumen investasi bebas risiko di mana kami menggunakan yield SUN 10 tahun dalam periode pengamatan yang sama sebagai acuannya.
Sementara itu, standar deviasi menunjukkan tingkat fluktuasi harga yang mencerminkan besar kecilnya perubahan return suatu portofolio terhadap return rata-rata kinerja historis portofolio yang bersangkutan selama periode pengamatan.
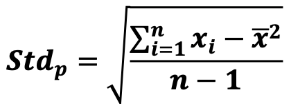
Dalam konteks investasi, standar deviasi mencerminkan total risiko dari suatu portofolio investasi. Total risiko yang dimaksud mencakup risiko sistematis (risiko pasar) maupun risiko yang berasal dari portofolio itu sendiri. Semakin besar standar deviasi, maka semakin besar pula risiko dari reksa dana tersebut. Perhitungan standar deviasi portofolio dapat dicari dengan cara sebagai berikut:

Keterangan:

Dalam penerapannya, standar deviasi portofolio reksa dana dari berbagai periode pengamatan harus disetahunkan (annualized) terlebih dahulu dengan cara sebagai berikut:

Mekanisme pemeringkatan dilakukan 100% melalui hasil dari nilai sharpe ratio, dalam hal ini akan diurutkan reksa dana yang memiliki nilai sharpe ratio dari yang tertinggi ke yang terendah setelah dibagi berdasarkan dengan jenisnya.

Model penentuan produk-produk reksa dana yang terbaik berdasarkan evaluasi kinerja investasi dilakukan berdasarkan pengelompokan dalam distribusi kurva lonceng (bell curve) dengan sebaran sebagai berikut:
-
10% teratas reksa dana dengan sharpe ratio tertinggi dalam jenisnya akan menerima lima bintang.
-
22,5% selanjutnya dalam jenis tersebut akan menerima empat bintang.
-
35,0% selanjutnya dalam jenis tersebut akan menerima tiga bintang.
-
22,5% selanjutnya dalam jenis tersebut akan menerima dua bintang.
-
10% terbawah reksa dana dengan sharpe ratio terendah dalam jenisnya akan menerima satu bintang.

